J.S. Held expande sus capacidades en consultoría sobre códigos de construcción, ingeniería contra incendios y análisis forense en el oeste de Canadá con la adquisición de GHL Consultants
LEER MÁSEl material de este documento fue investigado, recopilado y redactado conjuntamente por J.S. Held. Fue publicado originalmente para los asistentes de la 31.a Conferencia sobre Tormentas Locales Severas en octubre de 2024.
Históricamente, la investigación y las evaluaciones de daños posteriores a un downburst se limitaron a evaluaciones de daños, revisiones de mediciones y estimaciones de vientos en áreas cercanas, y análisis de radar meteorológico. Sin embargo, existen limitaciones en cada uno de estos indicadores de vientos fuertes, lo que incluye diferencias en materiales de construcción, códigos, integridad estructural, desconocimiento del estado de los árboles y del suelo (en caso de caída de árboles; por ejemplo, Frelich y Ostuno, 2012), sobreestimación de los vientos (Doswell et al., 2005; Edwards et al., 2018), falta de mediciones fiables de viento en áreas cercanas (por ejemplo, Horel et al., 2002) y disponibilidad limitada o deficiente de imágenes de velocidad base de radar (por ejemplo, Tirone et al., 2024).
Mientras tanto, los pronosticadores operativos utilizan de manera rutinaria diversos parámetros atmosféricos para predecir el potencial de ráfagas de viento severas asociadas con downbursts. Entre los más destacados se encuentra la energía potencial convectiva disponible de la corriente descendente (DCAPE; Emanuel, 1994), así como el índice de viento (WINDEX; McCann, 1994) y los índices T1/T2 (Fawbush y Miller, 1954; Miller, 1972), el índice de potencial de vientos microburst (MWPI; Pryor, 2015), entre otros. Además, se emplearon durante mucho tiempo métodos basados en radar, como la comparación de los topes de ecos de reflectividad de 18 dBZ con el líquido integrado verticalmente (VIL) en ciertos entornos (Stewart, 1991), así como la relación entre las ráfagas máximas de viento y la velocidad de propagación de los límites de salida (Sherburn et al., 2021). En algunos casos, los escaneos de velocidad base de radar a niveles bajos que detectan bolsas de vientos fuertes cercanas también pueden ayudar a determinar las velocidades del viento en superficie (Hjelmfelt, 1988).
La Figura 1 resume los factores termodinámicos y dinámicos favorables que promueven la generación de fuertes vientos de salida: 1) carga de precipitación, 2) enfriamiento latente, 3) flotabilidad negativa (Fdown), 4) aceleración de la corriente descendente, 5) arrastre de la estela de cizalladura descendente y 6) circulación por el flanco posterior/chorro de flujo posterior.
Durante las operaciones diarias de pronóstico, los meteorólogos suelen enfocarse en tres categorías de velocidades de viento asociadas con downbursts: subseveras (menores a 50 nudos), severas (50 a 64 nudos) y severas significativas (mayores o iguales a 65 nudos). Generalmente, no se presta mucha atención a una velocidad específica dentro de estas tres categorías, más allá de clasificar la magnitud de la ráfaga máxima en una de ellas. Aunque esta categorización puede ser útil para emitir alertas, identificar la verdadera velocidad máxima de ráfaga (o un rango de velocidades) es fundamental para fines forenses. Esta precisión es importante por sus implicaciones en códigos de construcción, reclamos de seguros y otras áreas de responsabilidad legal (como defectos de construcción, errores en la instalación de sistemas de techos, seguridad en el transporte, responsabilidad por condiciones de instalaciones, etc.).
Si bien cada uno de estos métodos para el pronóstico operativo del potencial de velocidad del viento de downburst también puede utilizarse para análisis forenses posteriores a una tormenta, el enfoque de este estudio de caso se centra en las aplicaciones del MWPI altamente adaptable a diferentes modos de tormenta dentro de diversos entornos climáticos y geografías.
El MWPI fue desarrollado primeramente por Pryor (2010) y está diseñado para cuantificar los factores más relevantes en la generación de downbursts convectivos al incorporar 1) energía potencial disponible para la convección (CAPE) basada en la superficie o más inestable, 2) la tasa de descenso de temperatura entre los niveles de 670 y 850 mb, y 3) la diferencia de depresión del punto de rocío entre los niveles de 670 y 850 mb. El MWPI se incorpora luego en modelos de regresión lineales y cuadráticos predictivos; consiste en un conjunto de variables predictoras (es decir, la depresión del punto de rocío y la tasa de descenso de temperatura) que genera como resultado el riesgo esperado de microburst y el potencial de ráfagas de viento. En general, el algoritmo del MWPI se considera más efectivo para evaluar el potencial de ráfagas de viento asociadas con downbursts en tormentas convectivas de células ordinarias y multicelulares en entornos de baja cizalladura del viento.

En la Ecuación 1, el símbolo 훤훤 representa la tasa de lapso de temperatura entre los niveles de presión superior e inferior seleccionados. Esta tasa se basa principalmente en la capa de mezcla convectiva subnubosa del entorno de la tormenta principal. Tradicionalmente, el MWPI selecciona por defecto la capa entre los niveles de 850 y 670 mb, según los estudios de Ellrod (1989) y Maddox et al., (1995; Pryor, 2015). Sin embargo, en regiones de mayor elevación, se consideró la capa de 500 a 700 mb (Pryor y Miller, 2016; Pryor, 2017; basado en Caplan et al., 1990). Por otro lado, en entornos marítimos y durante el día, se evaluaron incluso niveles de mezcla convectiva cercanos a la superficie o basados directamente en la superficie (por ejemplo, Pryor, 2016).
El MWPI sin unidades se aplica entonces a la Ecuación 2 o a la Ecuación 3 (en función de la geografía) para obtener una magnitud de ráfaga de viento:

Esta adaptabilidad y versatilidad al entorno local de la tormenta muestra la utilidad del MWPI en una variedad de geografías y modos convectivos, ya que el usuario del índice puede personalizar el cálculo para que coincida con la parcela atmosférica más inestable en cualquier situación.
Este tipo de personalización es muy valiosa para un análisis forense posterior a la tormenta, cuando ya se sabe que se produjo un downburst. En lugar de depender casi exclusivamente de indicadores de daño y sus diversas limitaciones documentadas para estimar la velocidad del viento a nivel local, los meteorólogos ahora cuentan con una herramienta precisa y adaptable para estimar ambientalmente el potencial máximo de ráfagas de un downburst.
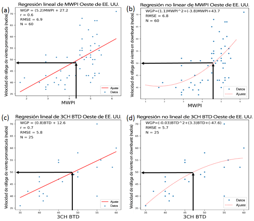
Como se demuestra en la Figura 2, los gráficos de regresión del potencial de ráfagas de viento del MWPI y las ecuaciones de regresión asociadas se derivan mediante una comparación directa entre los valores calculados del MWPI y las velocidades de ráfagas de viento medidas en downbursts cercanos.
El Sistema de Procesamiento Atmosférico Combinado Único (NUCAPS) de la Administración Nacional Oceánica y Atmosférica (NOAA) es un algoritmo empresarial que recupera registros de datos ambientales (EDR) de perfiles atmosféricos. Este sistema se aplica y evalúa en casos de tormentas convectivas severas tanto diurnas como nocturnas. Además, el NUCAPS es el algoritmo principal utilizado en las sondas operativas hiperespectrales de infrarrojo térmico y microondas. En la Figura 3 se ilustra un ejemplo del proceso de diagnóstico del potencial de ráfagas de viento en downbursts utilizando los perfiles de sondeo del NUCAPS y los gráficos de regresión.
Además, como se muestra en la Figura 4, el Coeficiente de Correlación (CC) es una medida de la similitud de las características radiativas de los pulsos polarizados horizontal y verticalmente emitidos por el radar Doppler de doble polarización. Las características de la precipitación, incluidas la fase y la forma de las partículas, pueden inferirse mediante el uso combinado de las mediciones del CC y reflectividad diferencial (ZDR). Se presentan dos estudios de caso distintos en los que se destaca la versatilidad del MWPI, respaldada por mediciones de temperatura de brillo (TB) obtenidas por satélite a través de microondas (MW), así como por firmas de reflectividad de radar Doppler y CC, y perfiles de sondeo termodinámico del NUCAPS y los Satélites Geoestacionarios Operacionales Ambientales (GOES).
Durante la tarde del 1 de julio de 2014 se produjo un microburst seco cerca de Carson City, resultando en una significativa ráfaga de viento severo de 68 nudos (78 mph) medida en la estación meteorológica automática remota de Little Valley (RAWS; Zachariassen et al., 2003), ubicada a unos 6,500 pies sobre el nivel del mar. Esta tormenta produjo un límite de salida que se desplazó hacia Reno, causando ráfagas de viento severas, incluyendo una ráfaga de 59 nudos (68 mph) en el Aeropuerto Reno-Tahoe y una ráfaga de 62 nudos (71 mph) en la oficina del Servicio Nacional de Meteorología (NWS) de Reno.
La radiosonda de las 0000 UTC desde Reno indicó una parcela virtual de Energía Potencial Convectiva Disponible Más Inestable (MUCAPE) de 357 J kg⁻¹, con una tasa de lapso de temperatura de 9.676 °C km⁻¹ entre las capas seleccionadas de 761 y 568.8 mb. Se mostró un perfil muy fuerte de "V invertida", típico de los downbursts secos, con una depresión del punto de rocío de casi 37 °C en la superficie y una capa seca-adiabática que se extendió desde la superficie hasta por encima de los 500 mb (Wakimoto, 1985).
Se calculó un valor sin unidades del MWPI de 5.7922, y al aplicarlo en la Ecuación 3, se obtuvo una ráfaga de viento potencial de 59 nudos. Una vez que se sumó un tercio del movimiento de avance de la tormenta (6 nudos), dio como resultado una ráfaga de viento potencial de 65 nudos (75 mph). Esto es notablemente cercano a los 68 nudos medidos en la RAWS de Little Valley. Poco después de esta ráfaga, la tormenta madre se disipó y solo quedó el límite de salida, que aún produjo vientos de calibre severo en las áreas pobladas de Truckee Meadows. El perfil de sondeo comparativo del NUCAPS de la Asociación Nacional de Satélites Polar-Orbitantes (NPP) y los GOES en el noroeste de Nevada por la tarde, que se muestra en la Figura 5, destacó el ambiente favorable para los microbursts secos, exhibiendo un perfil clásico de Tipo 1972 de Miller (4) o Tipo A de Wakimoto (1985) ("V invertida"), que promovió la aceleración de los descendentes por debajo del nivel de fusión y la base de la nube de tormenta, y subsecuentemente, vientos intensos de línea recta en el nivel del suelo.
A las 2327 UTC, la temperatura de brillo de la Sonda de Humedad de Microondas (MHS) NOAA-18 a 89 GHz, en comparación con el índice de dispersión a 157 GHz que se muestra en la Figura 6, más cercano al momento de la ocurrencia del microburst de Little Valley a las 2338 UTC, mostró temperaturas de brillo de microondas relativamente bajas y valores de índice de dispersión bastante altos asociados con la tormenta madre. Además, las imágenes del Radar de Nueva Generación (NEXRAD) de Reno, Nevada, en la Figura 7, mostraron la ocurrencia simultánea de alta reflectividad y valores relativamente altos de coeficiente de correlación (cerca de 1.0) dentro del núcleo de precipitación de la tormenta, lo que indicó la presencia de graupel seco, granizo pequeño y agregados de cristales de hielo. Esta composición de precipitación de la tormenta promovió una gran cantidad de enfriamiento latente y la consiguiente flotabilidad negativa, de acuerdo con el proceso descrito en la Figura 1.
Una tormenta supercelda de alta precipitación (HP) de trayectoria larga cruzó los condados de Brevard, Indian River, St. Lucie y Martin en Florida durante la tarde y noche del 26 de abril de 2023. Esta supercelda resultó en varios reportes de ráfagas de viento severas y daños por viento, los cuales fueron documentados en la base de datos de Eventos Meteorológicos de la NOAA. La tormenta causó un área de daños en West Melbourne (condado de Brevard), en la que el Servicio Nacional de Meteorología (NWS) determinó que las ráfagas de viento fueron de entre 70 y 75 millas por hora (mph). Específicamente, dentro de este informe de daños se mencionó una medición cercana de viento proveniente de una estación meteorológica personal (PWS) de 62 nudos (71 mph).
Se utilizó una CAPE más inestable (MUCAPE) virtual de la radiosonda de Cabo Cañaveral a las 1500 UTC de 5,451 J kg⁻¹ y las mediciones de temperatura y punto de rocío de los niveles de 925 y 753 mb (incluyendo una tasa de enfriamiento de 6.18°C km⁻¹), y se obtuvo un MWPI sin unidades de 6.3065. Esto resultó en una potencial ráfaga de viento de downburst de 56 nudos. Al agregar un tercio del movimiento hacia adelante de la tormenta medido por radar (en relación general con el método de agregar un tercio de la velocidad media del viento entre la superficie y 5,000 pies a la velocidad total del downburst recomendada por Miller (1972)), se estableció una velocidad de 62 nudos, idéntica a la medida por la estación meteorológica personal ubicada cerca de la trayectoria del downburst examinada por el NWS. La Figura 8, con los sondeos físicos (infrarrojo y microondas) y solo de microondas del NUCAPS del NOAA-20 de primera hora de la tarde (1752 UTC), obtenidos cerca de Melbourne, mostró un perfil húmedo clásico Tipo 2 de Miller (1972) con una gran CAPE, inestabilidad condicional y un valor de MWPI de 5, que correspondió a un potencial de ráfaga de viento de downburst de 50 nudos o más. La altura del punto de rocío de bulbo mojado cerca del nivel de 700 mb fue favorable para la generación de granizo y la posterior generación de corrientes descendentes intensas.
Se registraron ráfagas de viento de downburst adicionales en los aeropuertos de Vero Beach (56 nudos a las 2042 UTC) y Fort Pierce (47 nudos a las 2103 UTC); y la más fuerte del evento se registró en la estación meteorológica Weatherflow de Jensen Beach (74 nudos a las 2146 UTC). El sobrevuelo del sensor de microondas especial/generador de imágenes (SSMIS) de la Plataforma de Satélites Meteorológicos de Defensa (DMSP) F-18 del final de la tarde (2132 UTC), como se observa en la Figura 9, fue óptimo para observar las características físicas de la tormenta de supercelda que favorecieron la generación de downburst. La imagen del NEXRAD de Melbourne en la Figura 10 mostró la ocurrencia coincidente de alta reflectividad y valores relativamente bajos del coeficiente de correlación (0.8-0.9) dentro del núcleo de precipitación de la tormenta, lo que indicó la presencia de una gran cantidad de graupel y granizo. Una alta concentración de precipitación en fase de hielo en el flanco posterior de la tormenta favoreció la generación de un intenso downburst que fue promovido por una gran cantidad de enfriamiento latente y la flotabilidad negativa resultante de acuerdo con el proceso descrito en la Figura 1.
El MWPI puede utilizarse de manera demostrable en cualquier situación en la que se sospeche de actividad de corrientes descendentes convectivas y/o downbursts debido a su versatilidad y adaptabilidad en diversas geografías, zonas climáticas y modos convectivos.
El MWPI también se utilizó a nivel internacional, y se incluyen resultados positivos documentados en Australia (Grundstein et al.,2017) y también el Reino Unido (actualmente en curso). Incluso el evento climático histórico de lluvias y tormentas severas del 16 de abril de 2024 en los Emiratos Árabes Unidos (EAU) indicó usos confiables del MWPI, tanto a partir de sondas meteorológicas de satélites de órbita polar observados como de radiosondas medidas desde Abu Dabi.
Esta versatilidad del MWPI se debe a la naturaleza personalizable de las variables del índice. Por ejemplo, el usuario puede definir niveles atmosféricos específicos que correspondan con las tasas de lapso (cambio de temperatura) más pronunciadas en la capa inferior de la nube subconvectiva, y se presentan ecuaciones para determinar la velocidad máxima de ráfagas de viento basadas en las geografías del oeste y este de los Estados Unidos (aunque se sospecha que estos métodos pueden aplicarse en cualquier lugar del mundo con geografías y zonas climáticas similares).
También presentamos el método recomendado y demostrablemente preciso de aplicar un tercio del movimiento hacia adelante de la tormenta medido por radar a la velocidad orgánica de ráfagas de viento obtenida a través de las ecuaciones del MWPI, ya que este método adapta aún más la velocidad de las ráfagas de viento del MWPI a la tormenta madre en sí.
En general, las sondeos de la tarde del NUCAPS de la NPP y NOAA-20 indican cualitativamente una señal fuerte para la ocurrencia de tormentas severas y downburst: 1) una estrecha concordancia entre la estructura de la capa límite ("la V invertida") resuelta por los perfiles de sondeos de los GOES y el NUCAPS y el potencial de ráfagas de viento calculado con el MWPI; 2) una fuerte relación entre la alta reflectividad del radar y las muy bajas temperaturas de brillo (BT) en microondas aparentes en los sobrepasos de satélites NOAA-18 y F-18; 3) las bajas temperaturas de brillo (BT) también se correlacionan bien con los altos valores integrados de graupel, lo que sugiere que los intensos descendentes y los subsecuentes downbursts fueron forzados por la carga y fusión de la precipitación de hielo, así como por la entrada de aire no saturado en el núcleo de precipitación de fase mixta.
El producto de coeficiente de correlación del NEXRAD distinguió de manera efectiva entre el graupel seco, el granizo pequeño y los agregados de cristales de hielo que predominaron en la tormenta de downburst del oeste de Nevada, y la presencia de graupel y granizo más grandes, en proceso de derretirse, que fue prevalente en las tormentas de supercelda de Florida. En consecuencia, las tormentas de Florida mostraron una mayor probabilidad de generación de downbursts severos.
Nos gustaría agradecer a nuestros colegas Kenneth Pryor, PhD, y Daniel Schreiber, CCM, por sus aportes y experiencia, que fueron de gran ayuda en esta investigación.
Daniel Schreiber es vicepresidente sénior del servcio de Meteorología Forense de J.S. Held. Es meteorólogo consultor certificado y cuenta con más de 10 años de experiencia en operaciones militares, de aviación y en condiciones climáticas adversas. El Sr. Schreiber prestó servicios de consultoría y peritaje a firmas de abogados tanto de la parte actora como de la defensa, así como a ajustadores de seguros, tasadores, árbitros y asegurados a lo largo y a lo ancho de Estados Unidos. Fue consultado y/o contratado como perito en más de 850 casos y testificó tanto en declaraciones como durante juicios en tribunales estatales y federales. Con frecuencia, desempeña un papel fundamental en litigios multimillonarios sobre seguros y demandas por lesiones y homicidio culposo a lo largo de todo el país. Antes de incorporarse a J.S. Held, Dan fue propietario de una exitosa empresa de meteorología.
Puede contactarse con Dan enviando un correo electrónico a [email protected] o llamando al +1 830 453-0255.

Figura 6: Temperatura de brillo de la Sonda de Humedad de Microondas (MHS) NOAA-18 a 89 GHz a las 2327 UTC del 1 de julio de 2014 (izquierda) comparada con el índice de dispersión a 157 GHz (derecha). El círculo blanco representa la ubicación de la recuperación del NUCAPS de la NPP a las 2028 UTC. "59" y "68" marcan las ubicaciones de las ráfagas de viento de downburst de 59 nudos y 68 nudos registradas en el Aeropuerto Reno-Tahoe y en el RAWS de Little Valley, respectivamente.

Figura 9 : Comparación del producto de temperatura de brillo del SSMIS F-2132 del DMSP a las 26 UTC del 2023 de abril de 18. "PCT" es la temperatura corregida por polarización y "SI89" es el índice de dispersión de 89 GHz. El círculo blanco representa la ubicación de la recuperación del NUCAPS del NOAA-20 a las 1752 UTC. "56", "47" y "74" representan las ráfagas de viento de downburst (nudos) registradas en Vero Beach, Fort Pierce y Jensen Beach, Florida, respectivamente.